
Иллюстрация Fotolia
Реклама во время российских трансляций Олимпиады-2014 в Сочи обходится минимум в два раза дороже размещения в прайм-тайм - такую оценку дали опрошенные Sostav.ru рекламные агентства. Конечная стоимость зависит от телерейтингов. Пока Олимпиада показывает более высокие результаты телесмотрения по сравнению с предыдущими Играми в Лондоне и Ванкувере.
«Чем удачнее будут выступления наших российских спортсменов, тем больше людей будет следить за трансляцией, поэтому сравнить цены можно только приблизительно. Но если взять умеренно-оптимистичный прогноз, то по нашей оценке «олимпийский» CPP обойдется рекламодателям в 2-3 раза дороже по сравнению с существующей фиксированной ценой в прайм и в 3-4 раза дороже плавающего размещения», - отметил генеральный директор Code of Trade и вице-президент OMD MD|PHD Group Илья Герцев.
По подсчетам ТВ-баеров GroupM, разница между самым дешевым эфирным временем во время Олимпиады и прайм-таймом вне Олимпиады составляет около 100%. Таким образом, стоимость телеразмещения во время трансляций увеличивается как минимум в два раза.
Кроме того, в феврале 2014 года на российских телеканалах, которые транслируют Олимпиаду («Первом канале», каналах ВГТРК и «НТВ-Плюс»), подорожал пункт рейтинга для всего эфирного времени и всех рекламодателей.
«Селлеры изначально учли дополнительный сезонный коэффициент на февраль 2014 года – плюс 5-10% к стандартной цене февраля», - пояснил директор ТВ-группы агентства Media First (TWIGA) Александр Паршин.
Преимущественное право на размещение во время телетрансляций Олимпиады имеют спонсоры Игр. Стоит отметить, что, несмотря на активность спонсоров, которые выпускали олимпийские ролики к Сочи-2014, в преддверии Игр они не увеличили свое присутствие на российском ТВ.
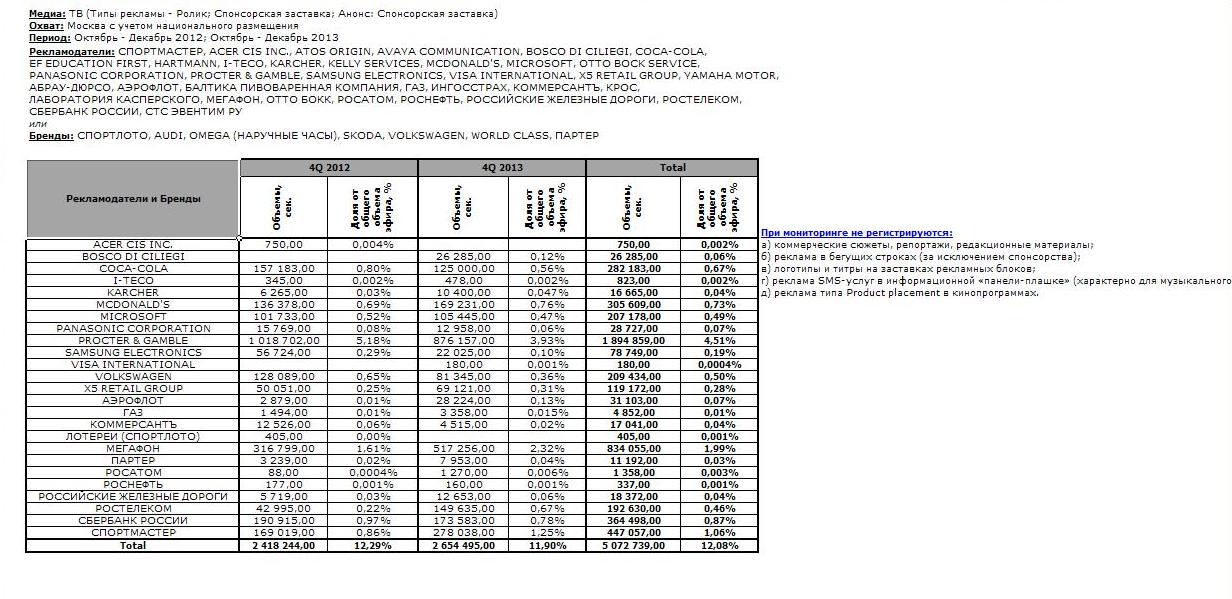
Согласно мониторингу TNS Russia, доля рекламы партнеров Олимпиады-2014 от общего объема эфира непосредственно переда началом Игр даже снизилась – с 12,29% в четвертом квартале 2012 года до 11,9% в аналогичном периоде 2013 года.
Sostav.ru: данные TNS по телесмотрению церемонии открытия Олимпийских Игр в Сочи
За новостями Олимпиады Сочи-2014 в маркетинге, рекламе и медиа следите на спецстранице Sostav.ru
