Анализ данных: от простого к сложному

2009-12-18 12:45:20 3359

Есть мнение, что обработать данные, полученные в ходе количественного маркетингового исследования, не составляет особого труда. Однако не стоит недооценивать такой важный этап, как обработка данных. Такая работа требует специальных знаний таких дисциплин, как маркетинг, статистика, социология, программирование и др. Немаловажную роль играют практический опыт, навыки и осведомленность о событиях в микро- и макросреде.

Чтобы не загружать вас математикой приведу один выразительный и яркий пример, демонстрирующий необходимость взвешенного подхода к данным.

Пример: Одна крупная ИТ организация нашего города провела исследование двух своих филиалов и выяснила следующий факт:

«В двух отдельно стоящих офисах, открытых одновременно осенью 2002г., с одинаковым количеством работников, средний стаж работы сотрудников составил 7,5 лет в первом и 5,5 лет—во втором».

Исходные данные были обработаны и представлены как среднее арифметическое (табл. 1). В результате, ответственный специалист и директор компании сделали следующие выводы:

  • Во втором офисе большая текучка
  • Видимо, отсутствует мотивация сотрудников
  • Зам. директора по персоналу должен быть уволен!
  • Давайте дальше изучать причины увольнения сотрудников и т.д.

На первый взгляд, все правильно. Однако, на самом деле, выводы сделаны ложные и силы брошены на решение мнимой проблемы – ее просто нет!

Рассмотрение только одной средней величины при анализе маркетинговых и статистических данных может привести к ошибочным результатам.

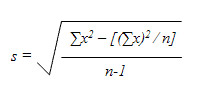
Необходимо рассматривать ее в совокупности с такими величинами, характеризующими качество средней, как дисперсия (s2), среднеквадратичное отклонение (s) и стандартная ошибка средней (с. о.х).

Данные величины демонстрируют меру разброса изучаемых признаков. Для определения текучести кадров в рассмотренном примере нам понадобится один из перечисленных показателей – среднее квадратичное отклонение:

Таблица 1. Среднее арифметическое

Исходные данные

№№ сотрудника
по порядку

Стаж работы у сотрудников, в количестве лет

Первый офис

Второй офис

1

21

1

2

1

5

3

1

1

4

9

10

5

4

1

6

3

22

7

19

5

8

4

6

9

10

20

10

7

3

11

2

4

12

6

2

13

6

9

14

7

1

15

4

21

16

6

4

17

22

4

18

3

22

19

21

1

20

1

3

21

1

2

22

9

1

23

4

4

24

3

1

25

7

2

26

2

2

27

10

3

28

22

3

29

1

1

30

9

1

Среднее арифметическое

7,5

5,5

Ниже демонстрируется таблица статистических данных по двум предприятиям с показателями средней арифметической величины и среднего квадратичного отклонения.

Таблица 2. Среднее арифметическое и среднее квадратическое по двум офисам

Первый офис

Второй офис

Среднее арифметическое

7,5

5,5

Среднее квадратичное отклонение

6,64

6,57

В данном случае среднее квадратичное отклонение может использоваться для сравнения текучести кадров на разных предприятиях. Как мы видим, у обоих предприятий средний срок пребывания сотрудника в должности составляет 6,6 лет, т. е. текучесть кадров в двух офисах практически одинаковая.

Таким образом, прежнее утверждение, основанное на средней арифметической, является ложным.

РЕЗЮМЕ: Этот небольшой пример очень выразительно демонстрирует необходимость качественной и компетентной аналитики данных. Доверяйте анализ данных только настоящим специалистам!

Иванов Павел Вячеславович, директор ООО "Маркетинговый центр "Максима"