Сергей Болотин
Посты
Подписчики
О блоге
Статистики пост
2016-06-22 11:01:02
1387
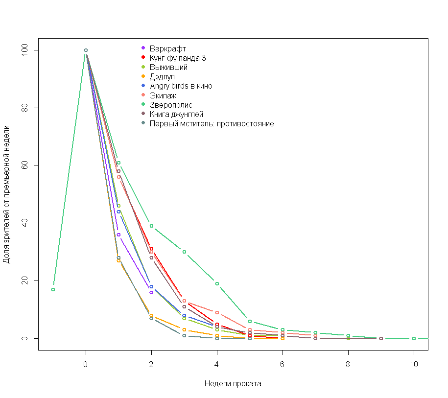
жизненный цикл лучших фильмов 2016 года
Категории:
Медиапланирование
Теги:
статистика
лучшие фильмы
реклама в кинотеатрах
реклама в кино
Другие материалы блога
Кто и что идет в кино: уикенд 26-29 октября
2017-10-26 15:32:16
3131
1
Крутить кино: спецпоказы
2017-10-26 15:29:40
3100
1
Через 2 недели: с 9 ноября
2017-10-23 17:13:10
2579
4
Кто и что идет в кино: уикенд 19-22 октября
2017-10-19 18:03:16
2904
Крутить кино: спецпоказы
2017-10-19 18:00:29
2923
1
Через две недели: со 2го ноября
2017-10-18 11:51:02
3091
Еще материалы
Запрет рекламы в Telegram, конфискация 65 млн у чиновника и «Вам что-нибудь нужно из Tesco?»
2026-03-15 23:19:49
34
Как не потерять себя в кризис, 10 фильмов о ценностях, идентичности и стойкости
2026-03-14 18:43:02
209
Эксперты АБКР – члены жюри Silver Mercury Регионы 2026
2026-03-13 22:18:26
307
Гоша нам не ответил
2026-03-13 11:53:14
388
Эксперт АБКР выступил на воркшопе «Геобренды. Создание и продвижение»
2026-03-12 18:55:33
449
Участие в Слете Мастеровых на стенде топового ручного инструмента Demid Tools
2026-03-12 16:20:22
542