Повышаем конверсии при помощи сквозной аналитики в мебельной нише 

2023-12-20 08:28:26 Время чтения 12 мин 510

В этом кейсе мы расскажем вам как с помощью 2-ух инструментов нам удалось улучшить результат в мебельном проекте

Ситуация А

Мы провели подготовку, провели анализ и составили стратегию, определили, что вести аудиторию будем в чат - бот и в качестве оффера выбрали запись на бесплатный замер. Подготовили и оформили чат - бот и запустили A/B тест креативов на тёплые аудитории. Не смотря на то, что мы имели невысокую стоимость клика, нам не удавалось привлекать аудиторию в чат - бот, не говоря уже о записях на замер. В нашем запасе был другой оффер “Тест драйв” кухни, который никто не использовал по всей РФ, но и с помощью этого оффера нам не удавалось привлечь аудиторию в нужном объеме.

Посадочная страница и структура чат - бота выглядели следующим образом:

Мы тестировали абсолютно различные гипотезы и объявления: Тестировали подборки кухонь, тестировали креативы от лица заказчика, т.к наш заказчик является достаточно известной личностью в своем городе, показывали корпусную мебель, а также работали с узкой сегментацией на сообщества ЖК, но всё было зря. Результат был нулевой.

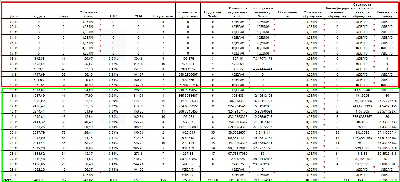
Декомпозиция в сквозной аналитике:

Мы прекрасно понимали, что бюджет клиента утекает без нужной результативности, но нам было принципиально выйти из этой ситуации и показать свой профессионализм, тогда мы провели широкий анализ выполненной работы.

Для анализа мы обратились к нашей сквозной аналитике. Это таблица, где мы фиксируем результат от первого показа в рекламе до конечной продажи. В этой таблице отражается весь наш результат и мы видим полностью отрисованный путь клиента в цифрах. На скриншоте представлена сквозная аналитика первых 14 дней работы по проекту. Как видите нами было реализовано 7917,43 рубля, привлекли мы 6 подписчиков в чат-бот стоимостью 1583,49 рублей и не было получено ни одной заявки.

Какие конверсии улучшить, чтобы получить результат?

Проанализировав сквозную аналитику мы выявили, что:

Мы имеем относительно невысокую стоимость клика, но у нас мало подписчиков на чат-бота, значит у нас страдает конверсия в подписку. За 13 дней работы мы получили 232 перехода и 6 подписчиков. Конверсия в подписку составила 2,5% - результат неудовлетворительный. Кроме того, проанализировав рекламную кампанию мы выявили, что большая часть аудитории, кликает не по ссылке, а переходит в группу, то есть наш призыв “Записаться на замер” и “Записаться на тест-драйв” не привлекает аудиторию. Значит нам нужно внедрять лид-магнит, который позволит приводить аудиторию в чат-бота дешевле.

Кроме того, мы нашли слабые места в самой группе, которые не подталкивали аудиторию совершить нужное нам целевое действие, в таком случае мы просто теряли заинтересованного пользователя.

Как мы работали над этими конверсиями:

Определили и согласовали с заказчиком лид-магнит. Подборку из 10 дизайнов кухонь, которые пользователи получат после того, как квалифицируют себя в чат-боте. А бонусом аудитория получала сертификат номиналом 50 000 рублей на заказ кухни.

ВАЖНО! Данным сертификатом покупатель мог оплатить не более 10% от стоимости кухни.

Для приёма входящего трафика мы подготовили нового и максимально простого чат-бота, который выявлял какая кухня нужна пользователю и предлагал оставить номер, чтобы получить дизайны и зафиксировать сертификат. После чего менеджеры фиксировали за пользователем сертификат, высылали 10 дизайнов кухонь и обрабатывали пользователя до записи на замер.

Для того, чтобы конверсия в заявку была высокой, мы внедрили шаги, которые напоминают пользователю о том, что нужно ответить на вопросы, чтобы получить сертификат номиналом 50 000 рублей, а если пользователь доходил до шага с запросом номера телефона, но не оставлял его, то через 30 минут, мы вступали в диалог “От лица менеджера”, для повышения лояльности аудитории - этот шаг существенно увеличивал нам конверсию в прохождение воронки.

Структура нового чат - бота выглядела следующим образом:

Мы доработали наше сообщество, и зациклили все ключевые блоки сообщества на призыве получить лид-магнит а именно: внедрили в блок-меню, приветственное сообщение, закрепленный пост призыв получить его. Тем самым подняли подписку на чат-бота.

Дополнительно, для повышения конверсии мы подключили ещё одного чат-бота, который упоминал новых подписчиков сообщества под закрепленным постом и призывал получить лид-магнит.

Запустили рекламную кампанию на базу ретаргета. Ей мы показывали: реализованные проекты, работали через “Личный бренд” и знакомили пользователей с салоном от лица руководителя, запускали сегментированные креативы с призывом получить лид - магнит и знакомили пользователей с командой для повышения доверия.

Также, одно из основных на чем мы держали фокус - это то, чтобы пользователи переходили с рекламы не в сообщество, а по ссылке. Специально для этого мы используем в рекламе несколько призывов к действию, а также дополнительный сниппет, который ведёт пользователя в чат-бот.

Результаты:

В последующие 16 дней нам удалось добиться сумасшедшего результата и получить 113 номеров телефона по средней стоимости 353,98 рублей.

Конверсия в подписку с 5% выросла до 19,85%

Конверсия в заявку выросла с 0 до 59,78%

И как итог нам удалось получить выручки ~1 000 000 рублей! Не смотря на то, что в первые две недели результат был нулевой. Фактически, эту выручку мы получили всего за 14 дней.

https://vk.com/@-142683204-strategiya-v-vk-dlya-mebelnoi-nishi-na-30-000-000-rublei

А вот что говорил клиент о нашей работе:

“Пару месяцев назад мы начали сотрудничать с ADV и за первый месяц работы получили более 100 квал. лидов на кухни в сегменте средний+, более 30 заявок мы смогли закрыть на дальнейшее сотрудничество и в первый же месяц мы сделали продаж порядка 1 000 000 рублей.

Раньше сотрудничали с другими ребятами, но качество трафика оставляло желать лучшего, а ADV успешно справились с поставленной задачей, что показывают цифры. Очень доволен, рекомендую команду ADV”

Качественные заявки для мебельного бизнеса - ADV|Marketing

https://vk.com/the_advancers

https://t.me/ADV_marketing

Спасибо, что дочитали до конца. Хороших продаж! :)